Toutes les données concernent environ 
Comment Convertir Du Binaire En Texte.  					 							 				Fonction Binaire Comment Devenir Riche En Une Semaine
 				 La source : alsace-vtc.fr
 				La source : alsace-vtc.fr 				  							 				Chaîne De Texte En Chaîne Binaire à Tableau Doctets à
 				 La source : ardybata.cf
 				La source : ardybata.cf 				  					  					 							 				Variables Iii Gestion Bas Niveau Des Données Apprenez à
 				 La source : openclassrooms.com
 				La source : openclassrooms.com 				  							 				3 Manières De Lire En Binaire Wikihow
 				 La source : fr.wikihow.com
 				La source : fr.wikihow.com 				  					  					 							 				Tour De Magie Binaire Culturemath
 				 La source : culturemath.ens.fr
 				La source : culturemath.ens.fr 				  							 				Un Tutoriel Sur La Conversion Binairedécimale
 				 La source : javascool.gforge.inria.fr
 				La source : javascool.gforge.inria.fr 				  					  					 							 				3 Manières De Lire En Binaire Wikihow
 				 La source : fr.wikihow.com
 				La source : fr.wikihow.com 				  							 				Isn Marchal
 				 La source : isn-marchal.com
 				La source : isn-marchal.com 				  					  						 				 				 
 								Ce qui suit est ce que nous pouvons partager liés comment convertir du binaire en texte que collecter. L'administrateur Texte Préféré 2019 collecte également d'autres images liées  comment convertir du binaire en texte  en dessous de cela. Visitez l'adresse source pour une explication plus complète.  
 			  				 							 				Ouvrir Fichier Binaire Terminal Scripts Et Ligne De
 				 La source : forum.ubuntu-fr.org
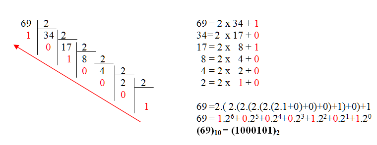
 				La source : forum.ubuntu-fr.org 				  							 				Algorithme De Conversion Dun Nombre Décimal En Binaire
 				 La source : waytolearnx.com
 				La source : waytolearnx.com 				  					  					 							 				Ecrire Son Prénom Et Des Nombres En Code Binaire Mme
 				 La source : classedemmeannelise.be
 				La source : classedemmeannelise.be 				  							 				Les Fichiers Binaires En C Ppt Télécharger
 				 La source : slideplayer.fr
 				La source : slideplayer.fr 				  					  					 							 				Télécharger Hex Edit Gratuit Comment ça Marche
 				 La source : commentcamarche.net
 				La source : commentcamarche.net 				  							 				Le Codage Binaire Comment ça Marche
 				 La source : commentcamarche.net
 				La source : commentcamarche.net 				  					  					 							 				Manipuler Le Contenu De Fichiers à Laide De Lhexadécimal
 				 La source : supinfo.com
 				La source : supinfo.com 				  							 				Convertir Décimal En Binaire En Langage C Waytolearnx
 				 La source : waytolearnx.com
 				La source : waytolearnx.com 				  					  					 							 				Isn Représentation Binaire
 				 La source : bfourlegnie.com
 				La source : bfourlegnie.com 				  							 				Codage Des Caracteres
 				 La source : dg77.net
 				La source : dg77.net 				  					  					 							 				Lire Et écrire Un Fichier Binaire Avec Python Chicoree
 				 La source : chicoree.fr
 				La source : chicoree.fr 				  					  	C'est tout ce que nous pouvons vous informer sur le comment convertir du binaire en texte. Merci de visiter le blog Texte Préféré 2019. 
		
 
0 Response to "Comment Convertir Du Binaire En Texte"
Enregistrer un commentaire